20款扫地机器人“官方测评”结果新鲜出炉!
家中地面清洁如何更省力?扫地机器人的边角清洁能力究竟怎样?养宠物的家庭又该如何选择?

针对消费者普遍关心的问题,北京市消费者协会近期对市场上销售的20款主流扫地机器人产品开展了比较试验。
测试结果显示,受测产品在“单房间覆盖率”“拖地清洁效果”等核心性能上整体表现良好,但不同品牌、不同型号在“矩形框硬地板清洁”“边角清洁”等项目上存在差异。

点击图片放大,查看测试结果详情
核心清洁性能
覆盖率和吸尘能力整体向好,边角清洁能力差异显著
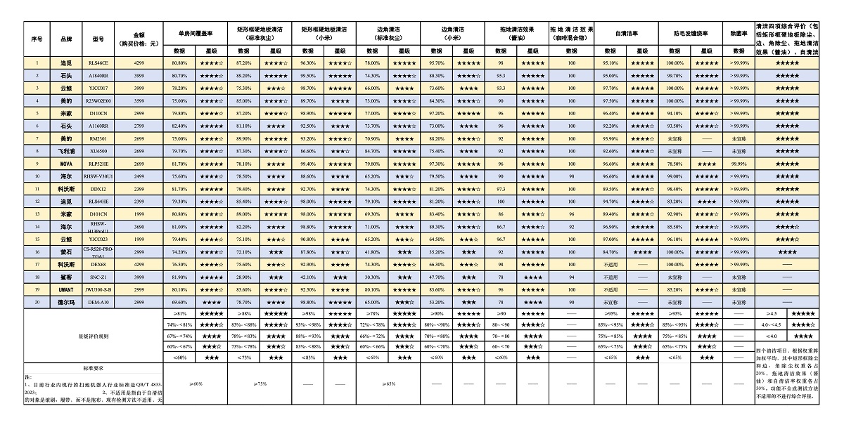
本次试验样品由北京市消费者协会工作人员以普通消费者身份,从电商平台购买,涉及追觅、石头、科沃斯、云鲸、米家、美的、海尔、鲨客等13个品牌的20款产品。价格覆盖1999元至4299元区间。
所有样品均被送至第三方权威检测机构,依据QB/T 4833-2023《家用和类似用途清洁机器人》等标准和测试方法,对单房间覆盖率、矩形框硬地板清洁、边角清洁、拖地清洁效果、自清洁率、防毛发缠绕率及除菌率七个关键项目,进行了科学评测。

在衡量产品全局清扫规划的“单房间覆盖率”项目中,石头、鲨客、科沃斯、MOVA、海尔等品牌表现优异,覆盖率均超过81%,获得五星评价,显示出当前主流产品的路径规划与全屋覆盖能力已较为成熟。
在“矩形框硬地板清洁”的吸尘能力测试中,各产品对大颗粒垃圾的清洁效果普遍良好,但对“小米”等细小颗粒物的清洁效果则存在差异,美的、石头、米家、海尔等品牌表现相对突出。
然而,在精细化清洁场景——“边角清洁”测试上,各产品表现出了显著差异。综合对“标准灰尘”和“小米”颗粒测试的清洁率来看,云鲸、鲨客、萤石、德尔玛、海尔等品牌的部分型号表现相对一般。而在同一测试中,飞利浦、UWANT、MOVA、追觅、米家等品牌则表现更为出色。
“拖地自清洁”成标配优势,“防缠绕”功能需关注实测数据
测试发现,拖地清洁、基站自清洁和除菌功能已成为主流产品的标配优势。20款产品的拖地清洁效果评分均达到“良好”级别(70分以上)。在16款宣称具备自清洁功能的产品中,云鲸、美的、海尔、MOVA、米家、追觅、石头等品牌的自清洁率超过95%,获得五星评价。15款具备除菌功能的产品,其除菌率均达到或超过99.99%,满足家庭日常除菌需求。
“防毛发缠绕”是养宠物家庭和长发人群的关注重点。在宣称具备此功能的16款产品中,整体表现较好,但具体效果数据存在差异。报告指出,该功能是一个涉及滚刷、风道、边刷设计的系统工程,消费者在选购时,不应仅凭广告宣传判断,而应关注具体测试数据。
消费提示:按需选购,科学使用
基于本次比较试验结果,北京市消费者协会为广大消费者提供了以下选购与使用建议。
1.对照数据,按需购买
数据显示,产品价格与单项性能并非绝对对应。例如,售价4299元的追觅RLS46CE在多项核心指标上均获五星,表现全面。而售价1999元的米家DIO1CN则在多个核心项目上获得四星或五星评价,显示出较高的性价比。消费者可根据房屋面积、地面材质和核心需求(如侧重吸尘、拖地或需防毛发缠绕)进行筛选,重点关注比较试验报告中在相应项目上获得高星级评价的型号。
2.关注续航,提效减负
“续航”包含电池工作时间和水箱(或污水箱)持续时间。建议优先选择电池续航长、水箱容量大或支持自动上下水功能的产品,可避免频繁充电、加水和倒污水,有效减少人工干预频率,真正解放双手。
3.理性看待,定期维护
切勿将“自清洁”功能等同于“完全不用管”。扫地机器人的基站内部、集尘盒、滚刷、边刷等部件仍需使用者定期清理维护,才能保证机器长期处于最佳工作状态,并维持家庭环境卫生。
4.正规渠道,留存凭证
务必通过品牌官方渠道、正规电商平台或线下门店购买,并妥善保存好购买凭证、发票及保修卡,以便在需要时享受完善的售后服务,并在发生消费纠纷时有效维权。
消费者在选购时,可借助客观的测试数据,结合家庭实际情况,做出最适合自己的选择。
图片由AI生成
- 相关新闻